High-throughput computational screening of nanomaterials for anti-oxidants
近日,国家纳米科学中心高兴发课题组在计算筛选抗氧化纳米材料方向取得新进展,相关成果以学术论文“Accelerated discovery of superoxide-dismutase nanozymes via high-throughput computational screening”(高通量计算筛选促进超氧化物歧化酶模拟物的研发)发表在Nature Communications ,2021 ,12 ,6866。该工作从理论上提出并验证了抗氧化纳米材料的判据物理量,这些判据可以方便地写入计算机程序,应用到机器学习和纳米材料大数据库建设,进而可以通过人工智能实现高通量筛选潜在抗氧化纳米材料,而不是像传统实验试错法那样需要成千上万个实验去逐一筛选,对纳米材料新功能的开发具有非常重要的意义。
高兴发课题组长期致力于纳米-生物界面化学的理论研究,发展医用纳米材料的计算机辅助设计方法。活性氧是生物代谢产物,也是重要的生物信号分子。前期,课题组研究了纳米材料通过化学催化驱动活性氧物质发生转化的机理和规律(ACS Catal. 2020 ,10 ,12657等),提出并发展了纳米催化调控活性氧新理论。最近,课题组通过分析纳米材料催化清除超氧阴离子自由基(O2•−)的微观机理和动力学,提出了筛选纳米材料催化清除O2•−的理论判据,并将它们用于计算机辅助抗氧化性纳米材料的高通量筛选。

超氧阴离子O2•−可攻击生物大分子,如蛋白质、脂质、核酸和聚不饱和脂肪酸等,引起细胞结构和功能的破坏,与机体衰老和病变有密切关系,纳米材料通过化学催化清除O2•−研究已经得到了广泛关注。然而,纳米材料清除O2•−的普适性机理仍不清晰,尤其缺乏简单的理论判据用于前瞻性预判哪些纳米材料具有清除O2•−的能力。
形象地说,纳米材料能否持续、高效地清除O2•−取决于两个因素:1. 纳米材料是否拥有这个“金刚钻”;2. 纳米材料是否“专揽瓷器活”而不被其他事务干扰。
从理论上提出能级判据 这个判据用来判别纳米材料是否拥有“金刚钻”。生物体内,超氧化物歧化酶(SOD)清除O2•−是通过其金属中心所形成的氧化还原电对Mn+1SOD/MnSOD介导的,该电对的氧化还原电势位于O2•−的歧化半反应电势φ1和φ2之间。与天然SOD不同,纳米材料催化清除O2•−由其前线轨道(frontier molecular orbital ,FMO)介导,因此有效清除O2•−的纳米材料应具有介于φ1和φ2之间的FMO。基于材料电子能带理论,提出了中间前线轨道(intermediate frontire molecular orbital ,iFMO)新概念:能量介于φ1和φ2的FMO即为iFMO。由此获得第一个理论判据——材料须拥有至少一条iFMO(图)。
纳米材料的iFMO可以是价带顶,导带底或缺陷态。当iFMO是空轨道时,催化遵循LUMO介导机理;当iFMO是电子占据轨道时,催化遵循HOMO介导机理(图)。因此iFMO模型首次对纳米材料清除O2•−机理给出了系统性的解释。同步辐射方法可精确表征纳米材料电子能级结构,因此iFMO模型也为该纳米生物效应的同步辐射研究提供了明确的理论依据。
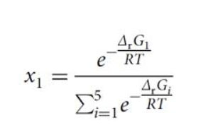
从理论上提出吸附能判据 这个判据用来判别纳米材料是否“专揽瓷器活”。天然SOD拥有蛋白质骨架,在催化过程中引导反应物和产物的有序靠近和离去,因此天然SOD具有较高反应方向专一性。而O2•−在纳米表面至少有5种不同的反应方向,不同反应产物达到热力学平衡时符合统计规律。将O2•−歧化分解反应标记为1,其余竞争性副反应标记为i (i = 2−4)。达到热力学平衡时,主反应所占分数x1为:

因此获得第二个理论判据——主反应所占分数x1应不低于0.5。通过研究反应能与吸附能之间的关系,该判据在pH = 7时可简化为:Eads ,HO > −2.7 eV和Eads ,H > −3.4 eV,其中Eads ,HO和Eads ,H分别是羟基和氢自由基在纳米表面的吸附能。
理论提出并验证判据物理量的意义非常重要,因为上述判据物理量可以方便地写入计算机程序,应用到机器学习和纳米材料大数据库建设,就可以通过人工智能去实现高通量筛选潜在抗氧化纳米材料,而不是像传统实验试错法那样需要成千上万个实验去逐一筛选。
上述研究工作的第一作者为国家纳米科学中心特别研究助理王真真与南京大学副研究员武江洁星(现任职于天津大学),通讯作者是高兴发研究员,该工作得到了国家自然科学基金和中国博士后科学基金的支持。